公司獻(xiàn)愛心收到感謝信
2010/11/12 9:32:41
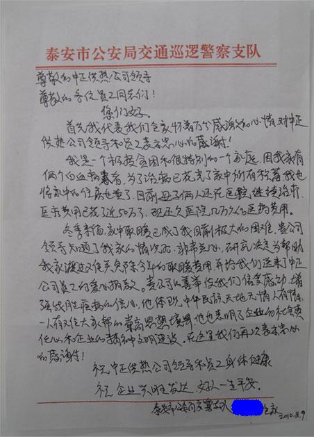
泰安市交警支隊一位家有兩個重病患者的職工深處困境,我公司得知其情況后,免除了該職工家今年冬季的采暖費,并在全公司進行一次獻(xiàn)愛心捐款活動。
11月9日,該職工親自到公司感謝,并遞交了感謝信。
- 上一篇:集團公司、泰安公司向深處困境的一位交警奉獻(xiàn)愛心 2010/11/8
- 下一篇:中正集團2011年高管研討會在鄆城勝利召開 2011/3/29
泰安市交警支隊一位家有兩個重病患者的職工深處困境,我公司得知其情況后,免除了該職工家今年冬季的采暖費,并在全公司進行一次獻(xiàn)愛心捐款活動。
11月9日,該職工親自到公司感謝,并遞交了感謝信。